Facile
Méthode

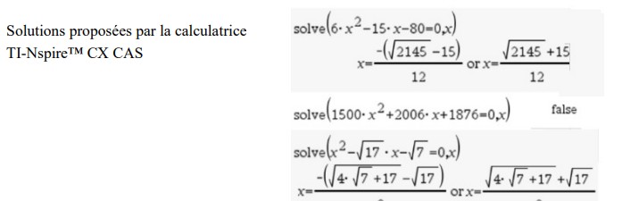
Très souvent dans les exercices, cette année, nous utiliserons la calculatrice ou un ordinateur pour avoir très rapidement les solutions .
Il est donc très important d'être capable d'utiliser ces outils, d'autant plus pour les exercices où la recherche des solutions n'est qu'une des étapes avant la mise en place d'un résultat plus important.
La commande est souvent :
solve(6x^2-15*x-80=0,x)
",x" permet d'indiquer la variable concernée.
