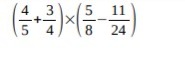
Simplifier au maximum et écrire le résultat sous forme irréductible :




Simplifier au maximum et écrire le résultat sous forme irréductible :




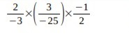
Simplifier au maximum et écrire le résultat sous forme irréductible :




Simplifier au maximum et écrire le résultat sous forme irréductible :




Simplifier au maximum et écrire le résultat sous forme irréductible :




Simplifier au maximum et écrire le résultat sous forme irréductible :




Simplifier au maximum et écrire le résultat sous forme irréductible :




Simplifier au maximum et écrire le résultat sous forme irréductible :




Simplifier au maximum et écrire le résultat sous forme irréductible :




Simplifier au maximum et écrire le résultat sous forme irréductible :




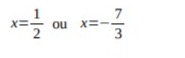
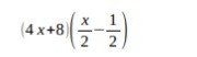
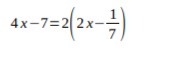
Résoudre l'équation suivante :




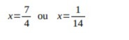
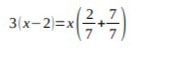
Résoudre l'équation suivante :




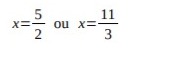
Résoudre l'équation suivante :




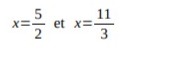
Résoudre l'équation suivante :



Résoudre l'équation suivante :




Résoudre l'équation suivante :


Résoudre l'équation suivante :




Résoudre l'équation suivante :


Résoudre l'équation suivante :



Résoudre l'équation suivante :




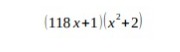
Développer l'expression suivante :




Développer l'expression suivante :




Développer l'expression suivante :




Développer l'expression suivante :




Développer l'expression suivante :




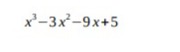
Factoriser l'expression suivante :




Factoriser l'expression suivante :




Factoriser l'expression suivante :




Factoriser l'expression suivante :




Factoriser l'expression suivante :




Simplifier au maximum




Simplifier au maximum




Simplifier au maximum




Ecrire sous forme scientifique




Ecrire sous forme scientifique
























































est égal à :




est égal à :



