Evaluation sur les puissances
Vous avez 10 minutes pour répondre à 10 questions
Une réponse seulement est juste. J'attends la forme la plus simple. Les réponses proposées sont toutes des pistes de travail justes ou fausses ... à vous de choisir le résultat final attendu
Montrer toutes les questions
<=
=>
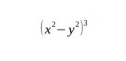
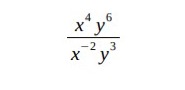
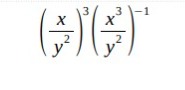
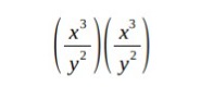
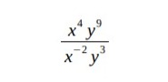
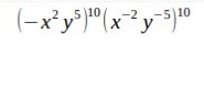
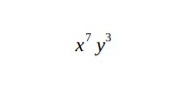
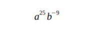
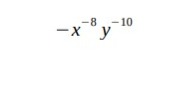
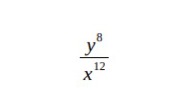
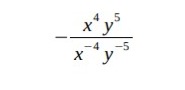
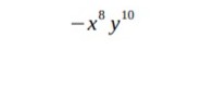
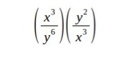
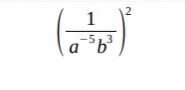
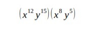
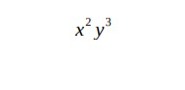
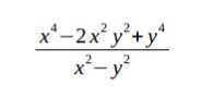
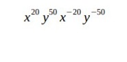
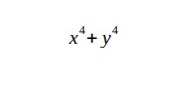
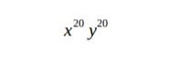
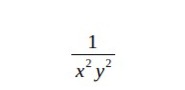
Donner la forme la plus simplifiée :
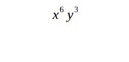
?
?
?
?
?
?
?
?
Autre réponse
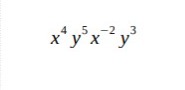
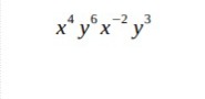
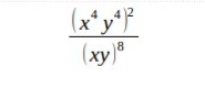
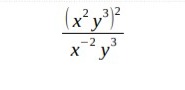
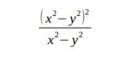
Donner la forme la plus simplifiée :
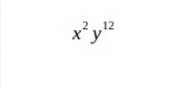
?
?
?
?
?
?
?
?
Autre réponse
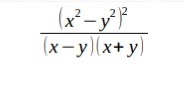
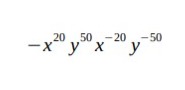
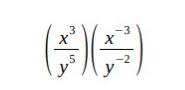
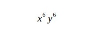
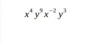
Donner la forme la plus simplifiée :
?
?
?
?
?
?
?
?
Autre réponse
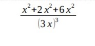
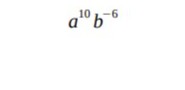
Donner la forme la plus simplifiée :
?
?
?
?
?
?
?
?
Autre réponse
Donner la forme la plus simplifiée :
?
?
?
?
?
?
?
?
Autre réponse
Donner la forme la plus simplifiée :
?
?
?
?
?
?
?
?
Autre réponse
Donner la forme la plus simplifiée :
?
?
?
?
?
?
?
?
Autre réponse
Donner la forme la plus simplifiée :
?
?
?
?
?
?
?
?
Autre réponse
Donner la forme la plus simplifiée :
?
?
?
?
?
?
?
?
Autre réponse
Donner la forme la plus simplifiée :
?
?
?
?
?
?
?
?
Autre réponse
OK