Evaluation sur les racines carrées en temps limité
Vous avez 10 minutes pour répondre à 10 questions
C'est un questionnaire à choix multiples . Pour avoir juste, il faut sélectionner toutes les bonnes réponses.
Montrer toutes les questions
<=
=>
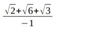
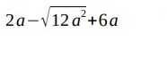
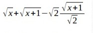
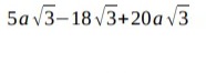
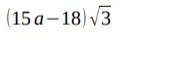
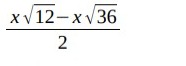
est égal à :
Vérifier
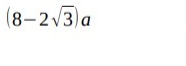
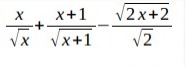
est égal à :
Vérifier
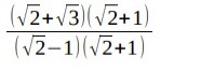
est égal à :
Vérifier
est égal à :
Vérifier
est égal à :
Vérifier
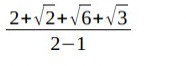
est égal à :
Vérifier
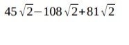
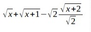
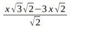
est égal à :
Vérifier
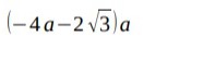
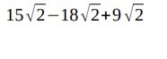
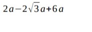
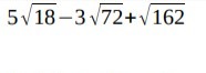
est égal à :
Vérifier
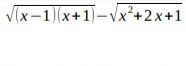
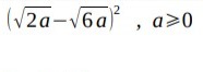
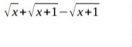
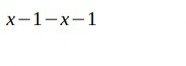
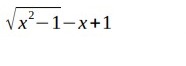
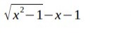
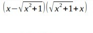
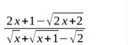
( avec x>1) est égal à :
Vérifier
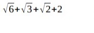
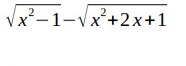
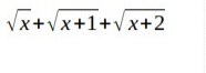
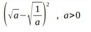
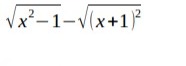
( avec x>0) est égal à :
Vérifier
OK