Evaluation sur les quotients en temps limité
Vous avez 15 minutes pour répondre à 10 questions
C'est un questionnaire à choix multiples . Pour avoir juste, il faut sélectionner toutes les bonnes réponses.
Montrer toutes les questions
<=
=>
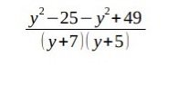
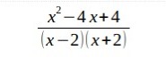
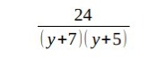
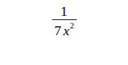
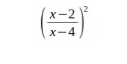
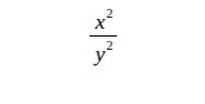
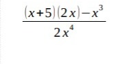
est égal à :
Vérifier
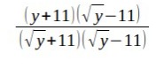
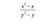
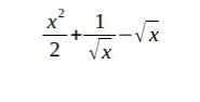
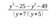
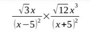
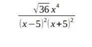
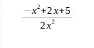
est égal à :
Vérifier
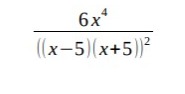
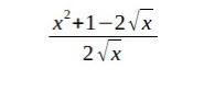
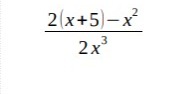
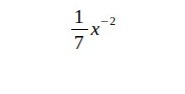
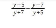
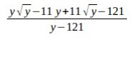
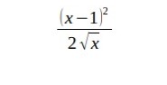
est égal à :
Vérifier
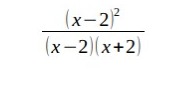
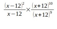
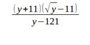
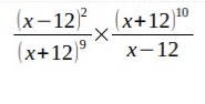
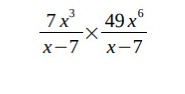
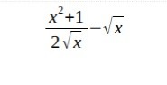
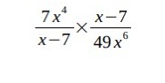
est égal à :
Vérifier
est égal à :
Vérifier
est égal à :
Vérifier
est égal à :
Vérifier
est égal à :
Vérifier
est égal à :
Vérifier
est égal à :
Vérifier
OK